1 (a) Why is it important to study program running time, and what factors influence it?

Answer:

  • Importance:

    • Predict performance, optimize resource use, and compare algorithms’ efficiency.
  • Factors:

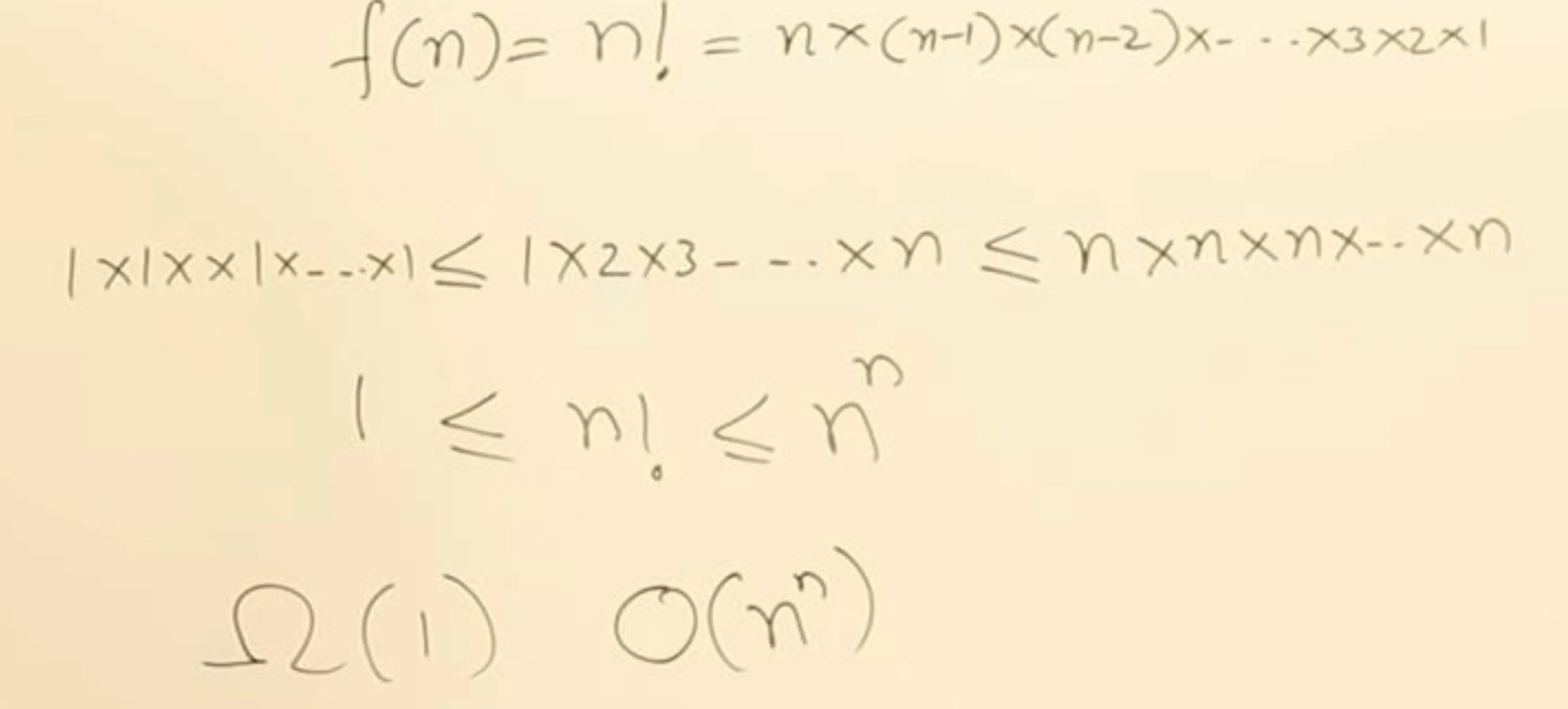
    • Input size ().
    • algorithm complexity
    • Hardware (CPU, memory).
    • Programming language and compiler.
    • Operating System

1 (b) Deduce the Satisfiability problem in Clique decision problem or vice versa

Video:

Question 2

Part(a) Prove that every graph G with maximum degree r is an induced subgraph of an r- regular graph

link link

Part (B)

AGT_Complexity, p.12

AGT_Complexity, p.13

Question 4

Part (b)

^0b0c5c

Question 5

Part (b)

^a2eaf5

Question 6

Part (a) & (b)

AGT Complete, p.57

Part (c)

^19910a

Question 10

Part (a)

Depth-First Search (DFS) Algorithm

Algorithm (Recursive):

  1. Input: A graph G and a starting vertex v.
  2. Mark v as visited.
  3. For each neighbor w of v in G:
    • If w is not visited:
      • Recursively call DFS(G, w).

Algorithm (Iterative using a Stack):

  1. Input: A graph G and a starting vertex v.
  2. Create an empty stack S.
  3. Push v onto S.
  4. Mark v as visited.
  5. While S is not empty:
    • Pop a vertex u from S.
    • For each neighbor w of u in G:
      • If w is not visited:
        • Mark w as visited.
        • Push w onto S.

Breadth-First Search (BFS) Algorithm

Algorithm (Iterative using a Queue):

  1. Input: A graph G and a starting vertex v.
  2. Create an empty queue Q.
  3. Enqueue v into Q.
  4. Mark v as visited.
  5. While Q is not empty: * Dequeue a vertex u from Q. * For each neighbor w of u in G:
    • If w is not visited:
      • Mark w as visited.
      • Enqueue w into Q.